芜湖与南陵,自古便为青弋江与长江交汇之处,浩浩长江自城西南向东北缓缓流过,青弋江自东南向西北,穿城而过,汇入长江。独特的地理环境,造就了芜湖“半城山、半城水”的独特山水风貌。
千百年来,甘甜的青弋江水养育了两岸无数百姓。今天,芜湖档案带您一起去探寻源远流长的青弋江!

青弋江的源头
青弋江,全长291公里,有大小支流23条,流域面积4340平方公里。是长江下游最大的一条支流。
据《南陵县志》记载:青弋江,发源于黄山,会石台、太平、旌德、泾县诸水后,河身渐广,春暖水涨,波涛汹涌,故曰江。

据芜湖市档案馆馆藏《青弋江沿革》中记载:青弋江,发源于安徽黄山山脉,上自黟县美溪河源地黄金尖起。
位于黟县西北拜年山(海拔1137米)与黄金尖(海拔888米)之间的美溪河是青弋江的正源。后经石台县、黄山区,于周家坦注入陈村水库(太平湖,淹没前称舒溪河),出陈村水库流经泾县(此段原名施溪河)、宣城、南陵、芜湖等地。

(图为青弋江源头)
青弋江在芜湖市区境内,经芜湖县清水河与水阳江连通后,折向西沿市区南境,至市区关门洲(宝塔根)注入长江。
民国八年《芜湖县志?地理志》中记载:长河(即青弋江),在县治南,源出广德、宣州,自濮家店经县前十里注扬子江(即长江)。

(图为芜湖方村河东、河西两街之间的青弋江)

青弋江至芜湖市区宝塔根注入长江
青弋江的别称
青弋江犹如一条美丽的银丝带,飘游在皖南的崇山峻岭之间,她一头系着黄山,一头连着长江。千百年来,甘甜的青弋江水养育了两岸无数百姓。人们也赋予了她很多称谓,如“清水”、“泠水”、“泾溪”、“泾水”等。
《宁国府志》中记载:青弋江古名清水,一名泠水,又名清弋水。
《后汉书?明帝纪》中记载:有泾水,出芜湖,因水立名。

停泊在芜湖青弋江口的渔船(拍摄于上世纪七十年代)

上世纪70年代初雪后的芜湖青弋江与中江塔

上世纪80年代青弋江鸟瞰

上世纪80年代初青弋江
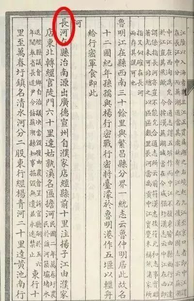
芜湖历史上称“青弋江”为“长河”
民国八年《芜湖县志·地理志》中记载:长河(即青弋江),在县治南,源出广德、宣州,自濮家店经县前十里注扬子江(即长江)。由濮家店东北转经官陡门六十里达姑孰溪,名扁担河。
图为民国八年《芜湖县志·地理志》中记载的“长河”
图为民国八年《芜湖县志·河南图》中标志有“长河”
也正是这条“长河”, 把芜湖城区分割为南、北两个区域,形成了青弋江北岸和南岸的格局。于是人们便习惯地称南岸地区为“河南”, 北岸地区为“河北”。
历史上的青弋江水运
青弋江的水运有着久远的历史,最早可追溯到一千多年前的唐代。
诗人李白有诗云:
涩滩呜嘈嘈,两岸是猿猱,
白波若卷雪,侧石不容舫,
渔子与舟人,撑折万张篙。
可见在唐代青弋江上游就有舟楫往来。到了清朝嘉庆年间,载重5至10吨的“仙踏子船”曾沿河上行到仙源、石台。1898年,芜湖商人创办的内河轮船公司已有小轮在青弋江上航行。

十九世纪末,停泊在芜湖青弋江口的船只

民国早期芜湖中江宝塔和东辕门
千百年来,青弋江两岸人民得水之利,因水而兴,繁衍生息,便捷的水运交通,也促进了芜湖商埠的繁荣。皖南山区的竹、木、柴、炭、茶叶、漆器、陶器、丝绸和纺织品等就是通过舟船和竹排,通过青弋江运往芜湖,再通过芜湖走向南京、扬州等地。在那个“舟楫”主宰货物运输的时代,青弋江成为联系皖南山区与外部经济生活的重要纽带,也是一条重要的文化传输长廊。
关注"都市百货" 了解南陵
微信咨询wanglf2r(不拉群 发广告者勿加)
0
0
2021年南陵计划生育补贴
南陵2021年度独生子女保健费名单
南陵2021年四员扶贫公益性岗位补
南陵2020年度农机购置补贴名单
南陵2021年农业补贴名单
南陵县2021年扶贫小额信贷
南陵2021年城乡居保财政代缴和另
2020年南陵创业担保贷款名单
热门评论